
聯金礦業有限公司註冊於英國維珍群島,是壹間專註於國際優質礦業資源收購,勘探和開發的企業。聯金旗下的礦業資産包括位於加拿大安大略省境內的Tudor金礦與Addington金礦,和位於加拿大魁北克省境內的Schefferville鐵礦等。
Tudor金礦作為聯金礦業有限公司的旗艦項目,已探明的黃金儲藏量達7.79公噸。聯金正在啟動下壹步的勘探計劃,為大規模的黃金開采奠定基礎。
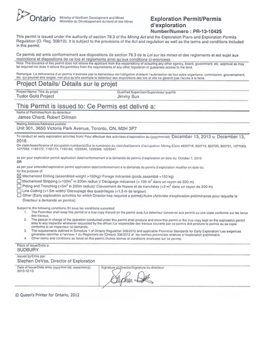
加拿大政府頒發的TUDOR金礦開發許可證和環境評估報告 >>


點擊放大圖片
聯金礦業有限公司是由具有多年礦業,企業管理,融資以及會計從業經驗的專業人士所成立,在北美擁有多個優質礦區的勘探和開采權。通過對旗下礦業資產的整合,聯金礦業有限公司預計將會在1-2年內完成上市的中期目標。

點擊放大圖片
TUDOR金礦位於加拿大安大略省南部TUDOR鎮的東北方,多倫多東北方350公里,占地約1150平方公頃,該礦交通便利,配套完善,具备開採的一切條件,并完成國際上各大交易所認可的NI43-101報告,現有探明的黃金儲量達7.79公吨,預計儲量可達50公吨,市值约20億美金。該礦的勘探和開採權屬於聯金礦業有限公司所有。


點擊放大圖片